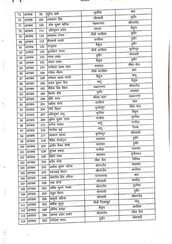
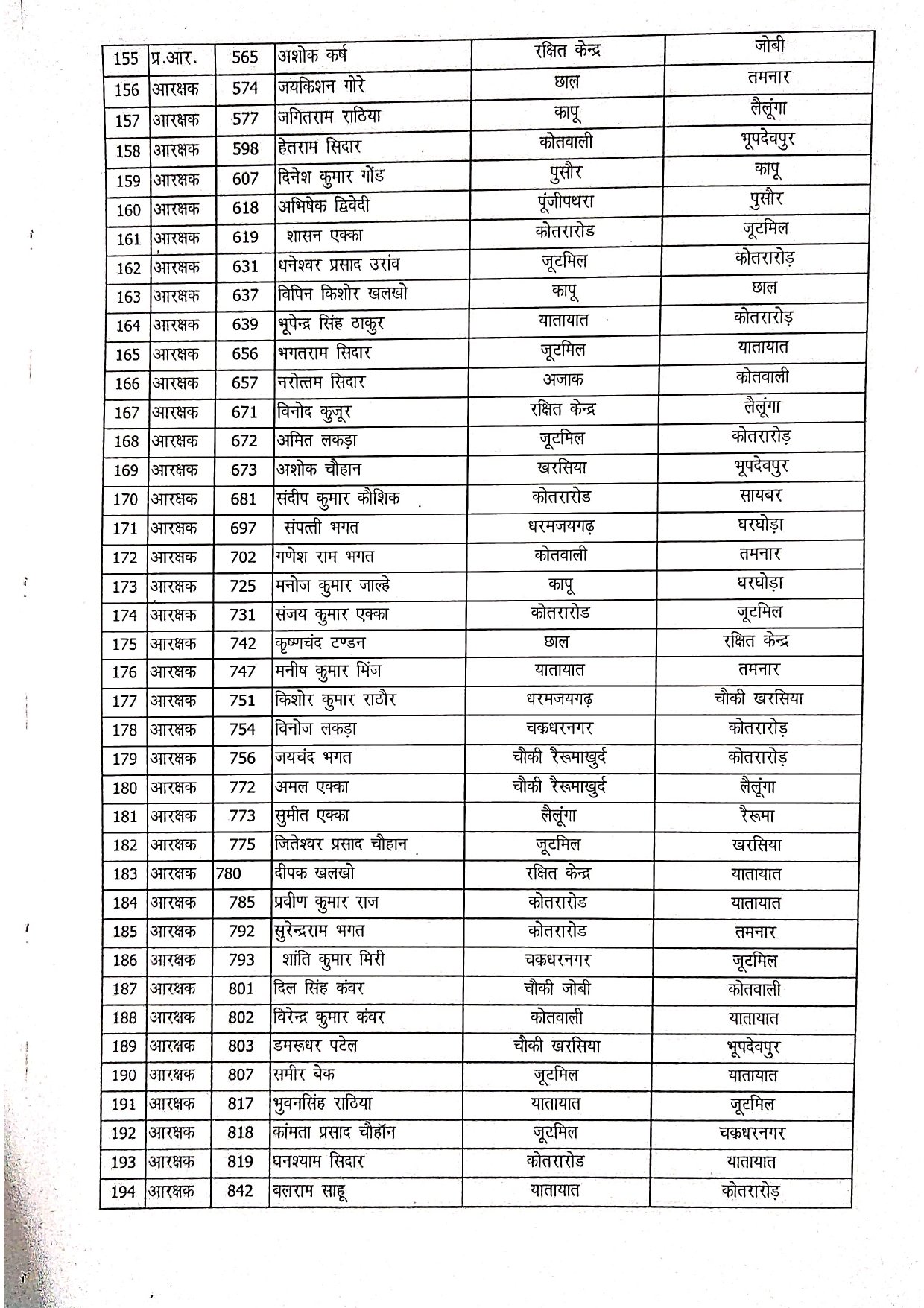
Raigarh Police Transfer : गौरी शंकर गुप्ता/रायगढ़। छत्तीसगढ़ के रायगढ़ जिले में पुलिस प्रशासन को नई गति देने के लिए एसएसपी शशि मोहन सिंह ने एक बेहद साहसी और कड़ा कदम उठाया है। कानून व्यवस्था को चुस्त-दुरुस्त करने और कार्यकुशलता बढ़ाने के उद्देश्य से जिले के 219 पुलिस अधिकारियों और कर्मचारियों का एक साथ तबादला कर दिया गया है। इस मेगा सर्जरी में सब-इंस्पेक्टर से लेकर आरक्षक स्तर तक के कर्मचारी शामिल हैं। जानकारों का कहना है कि पुलिस विभाग के इतिहास में यह अब तक की सबसे बड़ी प्रशासनिक कार्रवाई है।
तबादलों के पीछे मुख्य उद्देश्य लंबे समय से एक ही स्थान पर जमे पुलिसकर्मियों के कारण आ रही प्रशासनिक ढिलाई को दूर करना है। एसएसपी शशि मोहन सिंह ने साफ शब्दों में निर्देश दिए हैं कि ‘जीरो टॉलरेंस’ की नीति पर काम होगा। हाल के दिनों में जिले में चोरी, लूट और पॉक्सो (POCSO) जैसे मामलों में बढ़ोत्तरी देखी गई थी, जिसके बाद पुलिस की कार्यप्रणाली पर सवाल उठ रहे थे। इस फेरबदल के माध्यम से उन थानों पर विशेष ध्यान दिया गया है, जहां अपराध नियंत्रण का ग्राफ संतोषजनक नहीं था।

इस बड़े प्रशासनिक फेरबदल में करीब 15 थानों के प्रभारियों सहित 40 सब-इंस्पेक्टर और 120 आरक्षक प्रभावित हुए हैं। लंबे समय से एक ही थाने में तैनात अफसरों को हटाकर दूसरी जगहों पर पदस्थ किया गया है। जहां एक ओर इसे ‘पुलिस की सर्जरी’ कहा जा रहा है, वहीं दूसरी ओर कुछ वर्गों में इसे लेकर चर्चाएं तेज हैं। हालांकि, विभाग का कहना है कि यह केवल नियमित और आवश्यक प्रशासनिक सुधार है, ताकि अपराध पर प्रभावी अंकुश लगाया जा सके।
एसएसपी ने नव-नियुक्त थाना प्रभारियों और पुलिसकर्मियों को स्पष्ट संदेश दिया है कि वे जनता के साथ जुड़ाव बढ़ाएं और अपराध के प्रति कठोर रुख अपनाएं। जिले में सीसीटीवी सर्विलांस को बढ़ाने और ड्रोन तकनीक का उपयोग करने पर भी जोर दिया गया है। एसएसपी ने चेतावनी दी है कि आलसी या भ्रष्ट रवैया अपनाने वाले किसी भी अधिकारी को बख्शा नहीं जाएगा। वहीं, अच्छा काम करने वाले कर्मठ अफसरों को प्रोत्साहित करने का भी आश्वासन दिया गया है।
इस मेगा तबादले के बाद थानों में हड़कंप की स्थिति बनी हुई है। कलेक्टर ने भी इस निर्णय का समर्थन किया है और उम्मीद जताई है कि इससे जिले में अपराध दर में कमी आएगी। अब देखना यह है कि इस नई टीम के साथ रायगढ़ पुलिस अपराधियों पर कितनी नकेल कस पाती है और जिले की कानून-व्यवस्था में कितना सुधार आता है।









